近日,物理与天文学院2019级天文菁英班本科生孙佳蕊以第一作者身份在国际权威期刊《皇家天文学会月报》(Monthly Notices of the Royal Astronomical Society)上发表题为:Binary microlensing with plasma environment – star and planet的学术论文。
引力透镜效应是爱因斯坦的广义相对论所预言。上世纪80年代,普林斯顿大学的Bohdan Paczynski教授和毛淑德教授(现清华大学天文系主任)提出可以用本星系群中的微引力透镜效应来探测和研究系外行星。此方法目前是国际诸多大型观测项目中的主要科学目标,被广泛用于研究恒星和行星。但当恒星作为微引力透镜天体时,由于恒星会不断地向外抛射等离子体流,即星风,这些等离子体对背景光源发出的光线会产生额外的偏转。
目前有关微引力透镜效应的研究考虑的多是真空时的情况,很少考虑到恒星周围等离子体的影响。该工作对微引力透镜的研究将结合了等离子体的影响,并将单星与等离子体的研究扩展至双透镜天体与等离子体。该工作发现,由于恒星星风的存在,当恒星作为透镜天体时,在射电波段观测到的放大率曲线可能与真空情况不同。并且当等离子体的电子密度越高,或者观测波长越长,对光线会造成更明显地散射,因此若存在等离子体密度更高的恒星星风,有可能在亚毫米波段观测到等离子体的影响。
由于遥远的类太阳恒星星风稀薄且透明,难以直接探测到,目前主要是通过恒星光谱间接研究,通过观测和模拟受等离子体影响的微透镜光变曲线为研究恒星星风提供了一种新的方法。同时基于恒星星风对行星的形成、宜居性等方面的重要影响,该工作重点研究了包含恒星星风的恒星-行星系统,研究了在不同背景源轨迹下的放大率曲线,计算了放大率曲线中“山-洞效应”的临界值。并且该工作发现等离子体会导致额外的焦散线,缩小恒星造成的焦散线,并将行星造成的焦散线向外推。

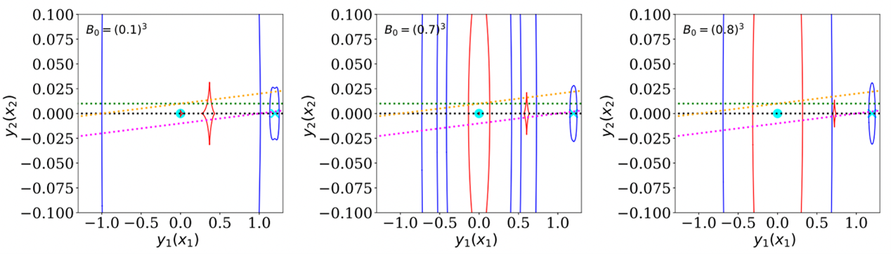
图一:不同等离子体强度下,恒星、恒星星风与行星组成系统的临界曲线和焦散线,其中蓝线为临界曲线,红色为焦散线。恒星位于青色圆形处,为平面原点,行星位于青色十字处,四条虚线表示光源位置的变化轨迹。
基于低质量主序星的“透镜带”与宜居带重合的特殊性,微透镜法较可能探测到位于宜居带的行星,而在低频下探测微引力透镜事件可以同时研究星风的强度,行星的大致质量和恒星-行星距离,可能可在探测到系外行星的同时从多个方面判断行星是否宜居。
论文共同第一作者为必一运动(官方网站)B·Sport-权威运动资讯网站尔欣中教授,俄罗斯科学院空间研究所Oleg Yu. Tsupko研究员为共同作者。研究工作得到国家自然科学基金、中国空间站巡天望远镜项目及必一运动(官方网站)B·Sport-权威运动资讯网站天文学一流学科建设项目资助。
全文链接:https://doi.org/10.1093/mnras/stad200